gratuitous graph

Andrea Bernard vs. Dazza Rinehart vs. David Wiles, 5 July 1993

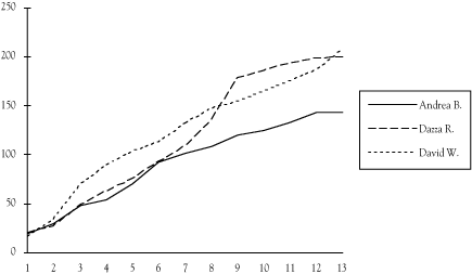
Wiles began the proceedings by asking if anyone had cheated. He was satisfiedthat no illegal activity had transpired when it was pointed out that thegame had not been removed from its box. The game was marked by poor selectionsof letters, a paucity of high scoring opportunities that lead Wiles to proposethat niln should be a word. The suggestion was rejected by a voteof two to one. Wiles' request that lidt be accepted was subsequentlyrejected by the same margin. Bernard offered to sell Wiles her Qfor an undisclosed amount, a proposition that was struck down by the RulesCommittee. In the end, it was Bernard's 10-point Q added to Wiles'final tally that gave him an eight-point margin of victory, 208 to 200 to143. Rinehart requested an audit, but no irregularities were found and thescore was certified as correct.






Nine Games Played During a
Thirteen Day Period in July 1993
No. III

gratuitous image
(PREVIOUS)
(NEXT)
©1996 David Glenn Rinehart | Old art