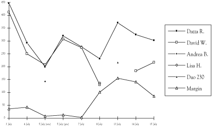
gratuitous graph

Nine Games Played During a Thirteen Day Period in July 1993

I. Dazza Rinehart vs. David Wiles, 3 July 1993
II.Dazza Rinehart vs. David Wiles, 4 July 1993
III.Andrea Bernard vs. Dazza Rinehart vs. David Wiles, 5 July 1993
IV.David Wiles vs. Dazza Rinehart, 5 July 1993
V.Dazza Rinehart vs. David Wiles, 7 July 1993
VI.David Wiles vs. Lisa Harrington vs. Dazza Rinehart, 8 July 1993
VII.Dazza Rinehart vs. Apple Macintosh Duo 230 Computer, 13 July 1993
VIII.Dazza Rinehart vs. David Wiles, 14 July 1993
IX.David Wiles vs. Dazza Rinehart, 15 July 1993





gratuitous image


©1996 David Glenn Rinehart | Old art