gratuitous graph

David Wiles vs. Lisa Harrington vs. Dazza Rinehart, 8 July 1993

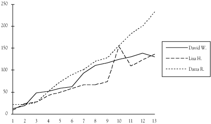
The game began uneventfully, and by the fourth move the players were separatedby no more than ten points. Rinehart then pulled away, and was not threateneduntil the tenth turn when Harrington came within two points after postingthe game's high score of 80 points. (Only 30 of the points were actuallyearned, the other 50 points were sympathy points awarded by the other playersbecause of Harrington's allergic reaction to a nearby mongrel.) On the nextmove, however, Harrington was slapped with a 50 point delay-of-game penalty,leaving Rinehart with no serious competition. Harrington continued to playaggressively, and finished second after points for the remaining tiles werededucted on the final turn. The final score was Rinehart 232, Harrington136, and Wiles 130. Wiles protested his dismal showing, but the final tallywas certified to be proper and correct.






Nine Games Played During a
Thirteen Day Period in July 1993
No. VI

gratuitous image
(PREVIOUS)
(NEXT)
©1996 David Glenn Rinehart | Old art